04 Cascadia#

Authors: Kidus Teshome, Cian Wilson

Steady state implementation#

Preamble#

We are going to run this notebook in parallel using ipyparallel. To do this we launch a parallel engine with nprocs processes. Following this, all cells we wish to run in parallel need to start with the Jupyter magic %%px.

%%px

Cells without the %%px magic will run locally and will not have access to anything loaded on the parallel engine.

import ipyparallel as ipp
nprocs = 2
rc = ipp.Cluster(engine_launcher_class="mpi", n=nprocs).start_and_connect_sync()
Starting 2 engines with <class 'ipyparallel.cluster.launcher.MPIEngineSetLauncher'>

Set some path information.

%%px
import sys, os
basedir = ''
if "__file__" in globals(): basedir = os.path.dirname(__file__)
sys.path.append(os.path.join(basedir, os.path.pardir, os.path.pardir, os.path.pardir, 'python'))

Loading everything we need from sz_problem and also set our default plotting and output preferences.

%%px
import utils
from sz_problems.sz_params import allsz_params
from sz_problems.sz_slab import create_slab, plot_slab
from sz_problems.sz_geometry import create_sz_geometry
from sz_problems.sz_steady_dislcreep import SteadyDislSubductionProblem
import numpy as np
import dolfinx as df
import pyvista as pv
import pathlib
output_folder = pathlib.Path(os.path.join(basedir, "output"))
output_folder.mkdir(exist_ok=True, parents=True)
import hashlib
import zipfile
import requests
from mpi4py import MPI
comm = MPI.COMM_WORLD
my_rank = comm.rank

Parameters#

We first select the name and resolution scale, resscale of the model.

Resolution

By default the resolution is low to allow for a quick runtime and smaller website size. If sufficient computational resources are available set a lower resscale to get higher resolutions and results with sufficient accuracy.

%%px
name = "04_Cascadia"
resscale = 3.0

Then load the remaining parameters from the global suite.

%%px
szdict = allsz_params[name]
if my_rank == 0:
    print("{}:".format(name))
    print("{:<20} {:<10}".format('Key','Value'))
    print("-"*85)
    for k, v in allsz_params[name].items():
        if v is not None and k not in ['z0', 'z15']: print("{:<20} {}".format(k, v))
[stdout:0] 04_Cascadia:
Key                  Value     
-------------------------------------------------------------------------------------
coast_distance       115
extra_width          20
lc_depth             40
io_depth             182
uc_depth             15
dirname              04_Cascadia
As                   40.0
qs                   0.065
A                    10
sztype               continental
Vs                   30.0
xs                   [0, 94.2, 186.8, 233.0, 275.6, 280.4, 310.0, 384.0, 468.0]
ys                   [-3, -15.0, -40.0, -60.0, -80.0, -82.5, -100.0, -161.0, -240.0]

Any of these can be modified in the dictionary.

Several additional parameters can be modified, for details see the documentation for the SteadyDislSubductionProblem class.

%%px
if my_rank == 0: help(SteadyDislSubductionProblem.__init__)
[stdout:0] Help on function __init__ in module sz_problems.sz_base:

__init__(self, geom, **kwargs)
    Initialize a BaseSubductionProblem.

    Arguments:
      * geom  - an instance of a subduction zone geometry

    Keyword Arguments:
     required:
      * A      - age of subducting slab (in Myr) [required]
      * Vs     - incoming slab speed (in mm/yr) [required]
      * sztype - type of subduction zone (either 'continental' or 'oceanic') [required]
      * Ac     - age of the over-riding plate (in Myr) [required if sztype is 'oceanic']
      * As     - age of subduction (in Myr) [required if sztype is 'oceanic']
      * qs     - surface heat flux (in W/m^2) [required if sztype is 'continental']

     optional:
      * Ts   - surface temperature (deg C, corresponds to non-dim)
      * Tm   - mantle temperature (deg C, corresponds to non-dim)
      * kc   - crustal thermal conductivity (non-dim) [only has an effect if sztype is 'continental']
      * km   - mantle thermal conductivity (non-dim)
      * rhoc - crustal density (non-dim) [only has an effect if sztype is 'continental']
      * rhom - mantle density (non-dim)
      * cp   - isobaric heat capacity (non-dim)
      * H1   - upper crustal volumetric heat production (non-dim) [only has an effect if sztype is 'continental']
      * H2   - lower crustal volumetric heat production (non-dim) [only has an effect if sztype is 'continental']

     optional (dislocation creep rheology):
      * etamax - maximum viscosity (Pas) [only relevant for dislocation creep rheologies]
      * nsigma - stress viscosity power law exponents (non-dim) [only relevant for dislocation creep rheologies]
      * Aeta   - pre-exponential viscosity constant (Pa s^(1/n)) [only relevant for dislocation creep rheologies]
      * E      - viscosity activation energy (J/mol) [only relevant for dislocation creep rheologies]

Setup#

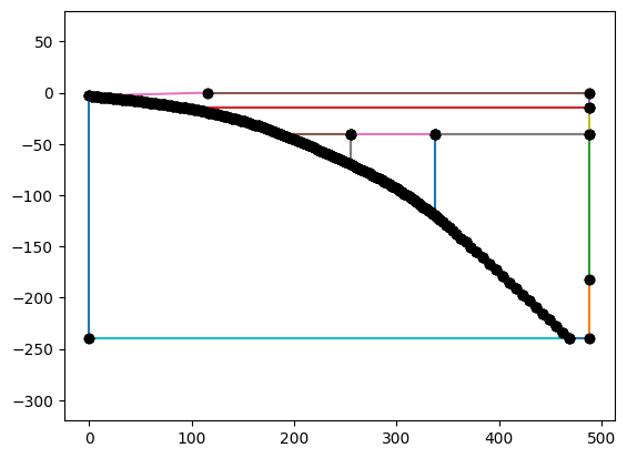
Setup a slab.

%%px
slab = create_slab(szdict['xs'], szdict['ys'], resscale, szdict['lc_depth'])
if my_rank == 0: _ = plot_slab(slab)
[output:0]
../../../_images/183db594b710f00f0c84dc9e5809c4c67c4ec7da0455ca34edc7e37644c0aaf9.png

Create the subduction zome geometry around the slab.

%%px
geom = create_sz_geometry(slab, resscale, szdict['sztype'], szdict['io_depth'], szdict['extra_width'], 
                             szdict['coast_distance'], szdict['lc_depth'], szdict['uc_depth'])
if my_rank == 0: _ = geom.plot()
[output:0]
../../../_images/eeb18dd2ad5d5f7dd73830203dde1ff453c47282ed572ca655313d6f6d26a4dc.png

Finally, declare the SubductionZone problem class using the dictionary of parameters.

%%px
sz = SteadyDislSubductionProblem(geom, **szdict)

Solve#

Solve using a dislocation creep rheology and assuming a steady state.

%%px
sz.solve()
[stdout:0] Iteration   Residual     Relative Residual
------------------------------------------
0           188.286      1           
1           14.7166      0.0781613   
2           5.34727      0.0283998   
3           3.22496      0.017128    
4           1.90583      0.010122    
5           1.11382      0.00591561  
6           0.689459     0.00366177  
7           0.458425     0.00243474  
8           0.319616     0.00169751  
9           0.228396     0.00121303  
10          0.165252     0.00087767  
11          0.120467     0.000639811 
12          0.0883516    0.000469243 
13          0.0651827    0.00034619  
14          0.0483871    0.000256988 
15          0.0361485    0.000191988 
16          0.0271772    0.000144341 
17          0.0205571    0.00010918  
18          0.0156372    8.30503e-05 
19          0.0119546    6.3492e-05  
20          0.00917916   4.87513e-05 
21          0.00707393   3.75702e-05 
22          0.00546796   2.90408e-05 
23          0.00423682   2.25021e-05 
24          0.00328913   1.74688e-05 
25          0.00255716   1.35813e-05 
26          0.0019903    1.05707e-05 
27          0.00155038   8.23418e-06 
28          0.00120842   6.418e-06   
29          0.000942287  5.00456e-06 
30          0.00073499   3.90359e-06 

Plot#

Plot the solution.

%%px
plotter = pv.Plotter()
utils.plot.plot_scalar(sz.T_i, plotter=plotter, scale=sz.T0, gather=True, cmap='coolwarm', scalar_bar_args={'title': 'Temperature (deg C)', 'bold':True})
utils.plot.plot_vector_glyphs(sz.vw_i, plotter=plotter, gather=True, factor=0.1, color='k', scale=utils.mps_to_mmpyr(sz.v0))
utils.plot.plot_vector_glyphs(sz.vs_i, plotter=plotter, gather=True, factor=0.1, color='k', scale=utils.mps_to_mmpyr(sz.v0))
geom.pyvistaplot(plotter=plotter, color='green', width=2)
cdpt = slab.findpoint('Slab::FullCouplingDepth')
utils.plot.plot_points([[cdpt.x, cdpt.y, 0.0]], plotter=plotter, render_points_as_spheres=True, point_size=10.0, color='green')
if my_rank == 0: 
    utils.plot.plot_show(plotter)
    utils.plot.plot_save(plotter, output_folder / "{}_ss_solution_resscale_{:.2f}.png".format(name, resscale))
[output:0]

Save it to disk so that it can be examined with other visualization software (e.g. Paraview).

%%px
filename = output_folder / "{}_ss_solution_resscale_{:.2f}.bp".format(name, resscale)
with df.io.VTXWriter(sz.mesh.comm, filename, [sz.T_i, sz.vs_i, sz.vw_i]) as vtx:
    vtx.write(0.0)
# zip the .bp folder so that it can be downloaded from jupyter lab
zipfilename = filename.with_suffix(".zip")
!zip -r $zipfilename $filename
[stdout:1]   adding: output/04_Cascadia_ss_solution_resscale_3.00.bp/ (stored 0%)
  adding: output/04_Cascadia_ss_solution_resscale_3.00.bp/data.0 (deflated 64%)
  adding: output/04_Cascadia_ss_solution_resscale_3.00.bp/md.idx (deflated 59%)
  adding: output/04_Cascadia_ss_solution_resscale_3.00.bp/mmd.0 (deflated 64%)
  adding: output/04_Cascadia_ss_solution_resscale_3.00.bp/md.0 (deflated 85%)
  adding: output/04_Cascadia_ss_solution_resscale_3.00.bp/profiling.json (deflated 72%)
[stdout:0]   adding: output/04_Cascadia_ss_solution_resscale_3.00.bp/ (stored 0%)
  adding: output/04_Cascadia_ss_solution_resscale_3.00.bp/data.0 (deflated 64%)
  adding: output/04_Cascadia_ss_solution_resscale_3.00.bp/md.idx (deflated 59%)
  adding: output/04_Cascadia_ss_solution_resscale_3.00.bp/mmd.0 (deflated 64%)
  adding: output/04_Cascadia_ss_solution_resscale_3.00.bp/md.0 (deflated 85%)
  adding: output/04_Cascadia_ss_solution_resscale_3.00.bp/profiling.json (deflated 72%)

Comparison#

Compare to the published result from Wilson & van Keken, PEPS, 2023 (II) and van Keken & Wilson, PEPS, 2023 (III). The original models used in these papers are also available as open-source repositories on github and zenodo.

First download the minimal necessary data from zenodo and check it is the right version.

%%px
zipfilename = pathlib.Path(os.path.join(basedir, os.path.pardir, os.path.pardir, os.path.pardir, "data", "vankeken_wilson_peps_2023_TF_lowres_minimal.zip"))
# only one process should download the data
if my_rank == 0:
    if not zipfilename.is_file():
        zipfileurl = 'https://zenodo.org/records/13234021/files/vankeken_wilson_peps_2023_TF_lowres_minimal.zip'
        r = requests.get(zipfileurl, allow_redirects=True)
        open(zipfilename, 'wb').write(r.content)
# wait until rank 0 has downloaded the data
comm.barrier()
assert hashlib.md5(open(zipfilename, 'rb').read()).hexdigest() == 'a8eca6220f9bee091e41a680d502fe0d'
%%px
tffilename = os.path.join('vankeken_wilson_peps_2023_TF_lowres_minimal', 'sz_suite_ss', szdict['dirname']+'_minres_2.00.vtu')
tffilepath = os.path.join(basedir, os.path.pardir, os.path.pardir, os.path.pardir, 'data')
# one process should extract the file
if my_rank == 0:
    with zipfile.ZipFile(zipfilename, 'r') as z:
        z.extract(tffilename, path=tffilepath)
# other processes should wait
comm.barrier()
%%px
fxgrid = utils.plot.grids_scalar(sz.T_i)[0]

tfgrid = pv.get_reader(os.path.join(tffilepath, tffilename)).read()

diffgrid = utils.plot.pv_diff(fxgrid, tfgrid, field_name_map={'T':'Temperature::PotentialTemperature'}, pass_point_data=True)
%%px
# first gather the data onto rank 0
diffgrid_g = utils.plot.pyvista_grids(diffgrid.cells, diffgrid.celltypes, diffgrid.points, comm, gather=True)
T_g = comm.gather(diffgrid.point_data['T'], root=0)
for r, grid in enumerate(diffgrid_g):
    grid.point_data['T'] = T_g[r]
    grid.set_active_scalars('T')
    grid.clean(tolerance=1.e-2)
diffgrid_g

# then plot it
plotter_diff = pv.Plotter()
clim = None
for grid in diffgrid_g: 
    plotter_diff.add_mesh(grid, cmap='coolwarm', clim=clim, scalar_bar_args={'title': 'Temperature Difference (deg C)', 'bold':True})
geom.pyvistaplot(plotter=plotter_diff, color='green', width=2)
cdpt = slab.findpoint('Slab::FullCouplingDepth')
#utils.plot.plot_points([[cdpt.x, cdpt.y, 0.0]], plotter=plotter_diff, render_points_as_spheres=True, point_size=10.0, color='green')
plotter_diff.enable_parallel_projection()
plotter_diff.view_xy()
if my_rank == 0: plotter_diff.show()
[output:0]
%%px
integrated_data = diffgrid.integrate_data()
totalarea = comm.allreduce(integrated_data['Area'][0], op=MPI.SUM)
error = comm.allreduce(integrated_data['T'][0], op=MPI.SUM)/totalarea
if my_rank == 0: print("Average error = {}".format(error,))
assert np.abs(error) < 5
[stdout:0] Average error = 0.13575806904049403